首页 > 医疗资讯/ 正文
全球人口老龄化加剧,延长寿命成为公共卫生领域的重大目标。世界卫生组织将2021–2030年定为“健康老龄化十年”,力图缩小寿命与健康之间的差距。阿司匹林因其抗血小板聚集作用和潜在抗炎、抗细胞衰老功能,且价格低廉、易获取,长期以来被假设为促进健康老龄化的潜在干预措施。尤其在40-60岁人群中,阿司匹林对于心血管疾病和部分癌症有明确的二级预防效果。然而,其对70岁以上健康老年人群的效益仍存争议。 细胞衰老机制中,阿司匹林可通过上调SIRT1(去乙酰化酶)和抑制β-半乳糖苷酶活性,减少细胞氧化应激,延缓端粒酶活性降低,理论上有助于延缓衰老相关疾病进展。尽管如此,这些效应可能较其短期抗血小板作用显现更晚。鉴于衰老疾病如痴呆的潜伏期极长,评价阿司匹林潜在的“遗留效应”——即停药后仍持续或后发的益处或风险,尤为重要。
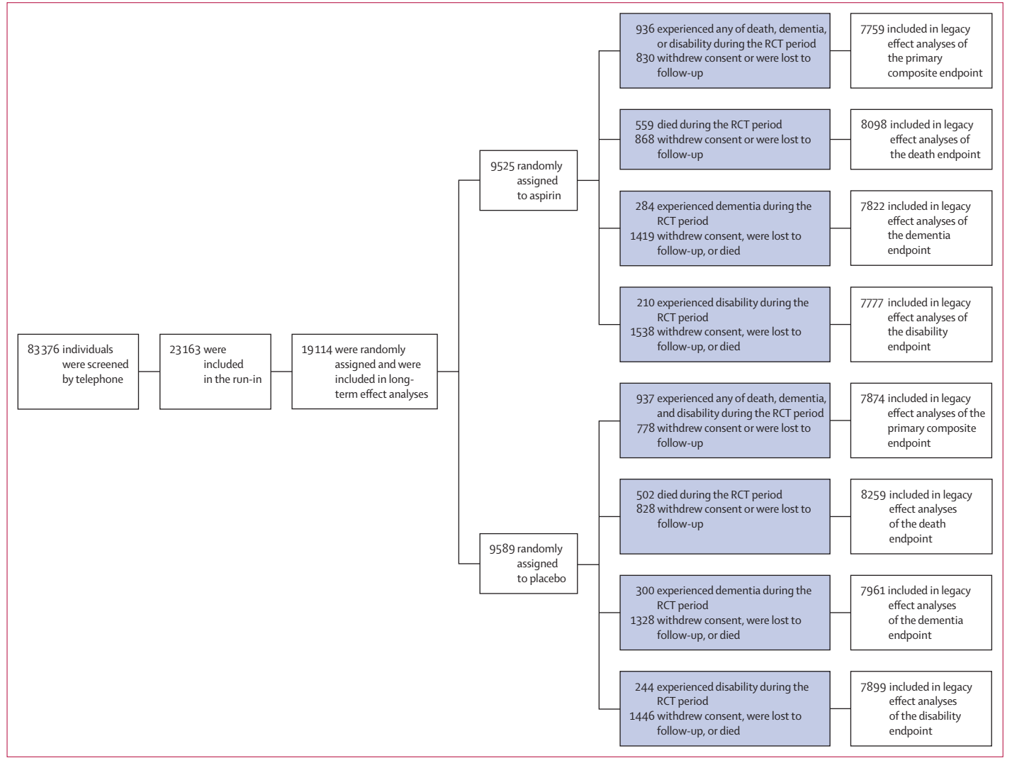
ASPREE作为一项随机、双盲、安慰剂对照试验,于2010年至2014年间招募19114名社区健康老年人(70岁及以上,部分美国黑人及西班牙裔为65岁及以上),随机每日给予100 mg肠溶阿司匹林或匹配安慰剂,持续治疗中位数4.7年。主要终点为首次发生痴呆、持续性身体残疾(至少6个月内无法或严重困难完成基本日常活动)或死亡。所有终点由专业盲法委员会评定。 ASPREE-XT为ASPREE的延伸观察性研究,治疗结束后继续随访中位数4.3年,考察阿司匹林停用后潜在的遗留效应和长期影响。研究采取Cox比例风险模型进行意向治疗分析,覆盖遗留期单独分析和综合ASPREE及ASPREE-XT长达近10年数据。
图:研究流程
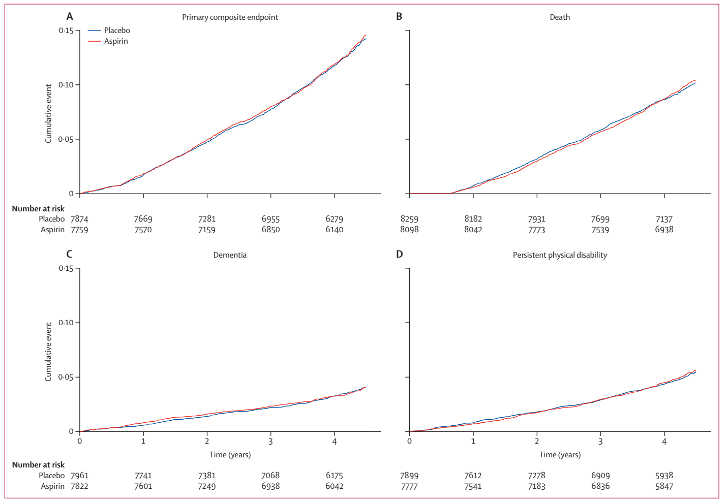
结果显示,阿司匹林组和安慰剂组的主要复合终点事件发生率分别为34.37和33.68/1000人年,HR为1.02(95% CI 0.94–1.11,p=0.63),无显著差异。死亡、痴呆和持续身体残疾各单项终点亦无显著差异。 联合ASPREE与ASPREE-XT数据,近10年累计风险仍显示无显著差异(复合终点HR为1.01,95% CI 0.95–1.08,p=0.65;死亡HR 1.06,95% CI 0.99–1.14,p=0.10)。
图:主要复合终点(A)及次要终点(B、C和D)的累积发生率
亚组分析显示,80岁及以上老年人服用阿司匹林,复合终点风险上升(HR为1.26,95% CI 1.07–1.48),且持续身体残疾风险增加(HR为1.34,95% CI 1.04–1.73),提示高龄群体安全性需警惕。 严重出血事件在ASPREE-XT无显著差异,但合并两期数据,阿司匹林组有显著出血风险升高(HR为1.24,95% CI 1.10–1.39)。
综上,阿司匹林的遗留效应和长期效应均未观察到显著益处,且80岁以上老年人使用阿司匹林可能反而增加不良事件风险。 低剂量阿司匹林无益处的原因可能包括阿司匹林无法延缓衰老相关疾病的早期病理变化,随访时间尚不足以体现潜在效应,或阿司匹林剂量及使用时长不足以影响炎症等生物通路。 研究强调,针对高龄群体,单纯以阿司匹林作为预防手段需谨慎,尤其考虑其潜在出血风险。未来研究应进一步探讨80岁以上老年人长期服用阿司匹林的安全性及其对身体功能和认知的影响。
原始出处
Shah RC, Ryan J, Webb KL, et al. Aspirin and healthy lifespan in older people: main outcome of the ASPREE-XT observational study. Lancet Healthy Longev. Published online August 27, 2026. doi:10.1016/j.lanhl.2025.100764
本文相关学术信息由梅斯医学提供,基于自主研发的人工智能学术机器人完成翻译后邀请临床医师进行再次校对。如有内容上的不准确请留言给我们。
- 搜索
-
- 1000℃李寰:先心病肺动脉高压能根治吗?
- 1000℃除了吃药,骨质疏松还能如何治疗?
- 1000℃抱孩子谁不会呢?保护脊柱的抱孩子姿势了解一下
- 1000℃妇科检查有哪些项目?
- 1000℃妇科检查前应做哪些准备?
- 1000℃女性莫名烦躁—不好惹的黄体期
- 1000℃会影响患者智力的癫痫病
- 1000℃治女性盆腔炎的费用是多少?
- 标签列表
-
- 星座 (702)
- 孩子 (526)
- 恋爱 (505)
- 婴儿车 (390)
- 宝宝 (328)
- 狮子座 (313)
- 金牛座 (313)
- 摩羯座 (302)
- 白羊座 (301)
- 天蝎座 (294)
- 巨蟹座 (289)
- 双子座 (289)
- 处女座 (285)
- 天秤座 (276)
- 双鱼座 (268)
- 婴儿 (265)
- 水瓶座 (260)
- 射手座 (239)
- 不完美妈妈 (173)
- 跳槽那些事儿 (168)
- baby (140)
- 女婴 (132)
- 生肖 (129)
- 女儿 (129)
- 民警 (127)
- 狮子 (105)
- NBA (101)
- 家长 (97)
- 怀孕 (95)
- 儿童 (93)
- 交警 (89)
- 孕妇 (77)
- 儿子 (75)
- Angelababy (74)
- 父母 (74)
- 幼儿园 (73)
- 医院 (69)
- 童车 (66)
- 女子 (60)
- 郑州 (58)